Sannsynlighetsregning
Du kan bruke kalkulator.
Lykke til!
Spørsmål 1 av
Det er 52 kort i kortstokk

La A og B være to hendelser, der P(A)=0.60, P(B)=0.50 og P(A∩B) =0.25.
Er A og B uavhengige hendelser?

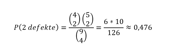
I en eske ligger 9 lyspærer hvorav 4 er defekte. Fire tilfeldige lyspærer tas ut. Da er sannsynligheten for at det tas ut 2 defekte lik:

I sommerferien liker Louise å lese bøker. Nedenfor ser du hvor mange sider hun leste hver av de 10 første dagene i ferien:
20 15 15 25 20 15 25 100 25 20
Bestem medianen, gjennomsnitt og empirisk standardavvik.
Bruk histogram og finn tilnærmet verdi for gjennomsnitt:


Bestem gjennomsnittsalderen for personene
Fra en gruppe på 11 personer skal vi trekke ut 3 personer ved tilfeldig trekning. Hvor mange forskjellige utvalg finnes det hvis vi ikke tar hensyn til rekkefølgen?
For to utfall A og B er det gitt at P(A)=0,59, P(B)=0,25 og P(AꓵB) =0,10.
Hva blir da P(AꓴB) og P(A|B)?






